電験2種 過去問 問題 解答
2017_7月15日_一次試験69問_二次試験35問
2011年8月1日月曜日
交流回路_電流と消費電力_重ねの理_平成22
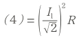
次の文章は、回路の電流と消費電力に関する記述である. 文中の[ ]に当てはまる数値を解答群の中から選びなさい.
図に示す交流回路において、回路に流れる電流と消費される電力を求めたい. ただし、
解答群
ーーーーーーーーーーーーーーーーーーーーーーーーーーーーーーーーーーーーーーー
解答
(1)ー(ル)
(2)ー(チ)
(1)と同様に求める
(3)ー(ハ)
(4)ー(ヘ)
(5)ー(ヌ)
0 件のコメント:
コメントを投稿
次の投稿
前の投稿
ホーム
登録:
コメントの投稿 (Atom)
0 件のコメント:
コメントを投稿